免洗助焊剂 元器件百科 免洗助焊剂特点1.不同产品适合于发泡,喷雾,浸焊,刷擦等不同涂敷方式,没有废料的问题产生;2.低烟、刺鼻味小、不污染工作环境、不影响人体健康;3.过锡后PCB表面平整均匀、无残留物和能清除焊接母体表面上氧化物的能力;4.过锡后不会造成排插的绝缘;5.过锡面与零件面没有白粉产生,即使在高温、高湿下也不影响表面;6.上锡速度快、润湿性适中,即使很小的贯穿孔依然可以上锡;7.快干性佳、不粘手;8.通过严 芯城品牌采购网 2025-10-29 4608 焊剂
双屏蔽电缆 元器件百科 双屏蔽电缆简介双屏蔽即两层屏蔽层,先分屏蔽后总屏蔽,也有双总屏蔽电缆但是作用不大,一般采用先分屏蔽后总屏蔽的居多。计算机电缆,型号为DJYPVP,根据型号可看出是双屏蔽电缆,线芯绞对组铜丝编织屏蔽,总包带和总屏蔽包带之间屏蔽层有编织的和金属绕包的两种。屏蔽电缆有单层屏蔽和双层屏蔽之分。双层比单层的好,比双绞屏蔽电缆性能更优异的是铠装型双绞屏蔽电缆。所谓双屏蔽电缆是指有两层屏蔽层、且两层屏蔽层之间必 芯城品牌采购网 2025-10-29 8439 屏蔽电缆
光栅编码器 元器件百科 光栅编码器分类光栅编码器可分为两大类,一是旋转编码器,用于转角、转速的测量;二是直尺型编码器,用于直线位移、运动速度的测量。在旋转编码器中,又可分为绝对式编码器和增量式编码器。光栅编码器常用的介绍常用的光栅编码器有圆光栅和尺型直光栅二种。其输出信号一般都为增量式脉冲串,即给出A、B二路相位互差90°的方波脉冲串,另外还在光栅上的一个特定点处给出一个代表零位脉冲信号Z,见图1。除特殊类型之外,A、B 芯城品牌采购网 2025-10-29 5438 光栅编码器
光环行器 元器件百科 光环行器简介光环行器是一种多端口非互易光学器件,它的典型结构有N(N大于等于3)个端口,如图1所示,当光由端口1输入时,光几乎毫无损失地由端口2输出,其它端口处几乎没有光输出。图1光环行器示意图当光由端口2输入时,光几乎毫无损失地由端口3输出,其它端口处几乎没有光输出,以此类推。这N个端口形成了一个连续的通道。严格地讲,若端口N输入的光可以由端口1输出,称为环行器,若端口N输入的光不可以由端口1输 芯城品牌采购网 2025-10-29 10412 光环行器
光盘驱动器 元器件百科 光盘驱动器工作原理光驱是一个结合光学、机械及电子技术的产品。在光学和电子结合方面,激光光源来自于一个激光二极管,它可以产生波长约0.54-0.68微米的光束,经过处理后光束更集中且能精确控制,光束首先打在光盘上,再由光盘反射回来,经过光检测器捕获信号。光盘上有两种状态,即凹点和空白,它们的反射信号相反,很容易经过光检测器识别。检测器所得到的信息只是光盘上凹凸点的排列方式,驱动器中有专门的部件把它转 芯城品牌采购网 2025-10-29 8817 光盘驱动器
光纤分光器 元器件百科 光纤分光器概念是光纤链路中最重要的无源器件之一,具有多个输入端和多个输出端,一个分路器有M个输入端和N个输出端用M*N表示。而将多路光信号合为一路信号叫做合成器。按生产工艺有平面波导型光纤分光器(PLCSplitter)和熔融拉锥分光器(FBTSplitter)光纤分光器插入损耗每一路输出相对于输入光损失的dB数就是插入损耗,其数学表达式为:Ai=-10lgPouti/Pin,其中Ai是指第i个输 芯城品牌采购网 2025-10-29 6888 光纤分光器
光纤跳线 元器件百科 光纤跳线结构光纤跳线(又称光纤连接器)是指光缆两端都装上连接器插头,用来实现光路活动连接;一端装有插头则称为尾纤。光纤跳线(OpticalFiberPatchCord/Cable)和同轴电缆相似,只是没有网状屏蔽层。中心是光传播的玻璃芯。在多模光纤中,芯的直径是50μm~65μm,大致与人的头发的粗细相当。而单模光纤芯的直径为8μm~10μm。芯外面包围着一层折射率比芯低的玻璃封套,以使光纤保持在 芯城品牌采购网 2025-10-29 11416 光纤
光伏电缆 元器件百科 光伏电缆简介产品型号:光伏电缆导体截面:光伏电缆许多国家仍处于学习阶段。毫无疑问,为了获取最佳利润,业内企业,都需要向那些已在太阳能应用方面具有多年经验的国家和公司学习。建造经济高效的盈利性的光伏发电厂,代表了所有太阳能制造商最重要的目标和核心竞争力。事实上,盈利能力不仅仅取决于太阳能组件自身的效率或高性能,也离不开一系列表面看来与组件无直接关系的部件。但所有这些部件(如电缆、连接器、接线盒)应依 芯城品牌采购网 2025-10-29 4656 光伏电缆
光控晶闸管 元器件百科 光控晶闸管简介光控晶闸管又称光触发晶闸管,它是一种以光信号代替电信号来进行触发导通的特殊触发型晶闸管,其伏安特性曲线与普通晶闸管完全一样,只是触发方式不同。而由于它采用光信号触发,避免了主回路对控制回路的干扰,适用于要求信号源与主回路高度绝缘的大功率高压装置,如高压直流输电装置、高压核聚变装置等。光控晶闸管是利用一定波长的光照信号控制的开关器件,其结构也是由四层半导体(PNPN)构成。小功率光控晶 芯城品牌采购网 2025-10-29 7675 光控晶闸管
全息光存储 元器件百科 全息光存储简介全息光存储实际上还是一种光盘存储技术,采用复用技术,可大幅度地提高存储容量和系统性能。在各种未来高密度光存储技术中,全息光存储以其所具有的高存储容量、高存储密度、高信息存储冗余度和超快存取速度等优点一直为人们所重视。全息光存储发展前景与当前的硬盘、光盘存储以及下一代的高密度光存储技术相比,全息光存储的巨大竞争力体现在它所具有的超大存储容量、超高存储密度和越快的存取速度等方面。全息光存 芯城品牌采购网 2025-10-29 11063 存储
变频调速系统 元器件百科 变频调速系统变化变频调速后,电动机的各种损耗和效率均有所变化,根据电机学理论,电动机的损耗可分为铁芯损耗(包括磁滞损耗和涡流损耗)、轴承摩擦损耗、风阻损耗、定子绕组铜耗、转子绕组铜耗、杂散损耗等几种。说明磁滞损耗Pn与磁通的交变频率f成正比,与磁通密度的幅值Bm的α次方成正比,α对于一般硅钢片,当Bm=0.8~1.6W/m2时,α=2。由风机和泵类理论,其流量Q与所需电动机轴功率P与转速n的关系为 芯城品牌采购网 2025-10-29 12420 变频调速
光纤调制解调器 元器件百科 光纤调制解调器性能指标系统指标:误码率极低:优于0.000000001物理特性:标准外形:186cm长*110cm宽*37cm高电源:系统电源:AC220V,3W光接口参数:线路码型:不平衡码光源类型:850nm多模LED平均发射光功率:Po≥-14dBm光接口:ST电接口参数:CAN速率:500Kbps环境条件:工作温度:0~55℃储存温度:-55~+105℃相对湿度:≤90[%](25℃)无冷 芯城品牌采购网 2025-10-29 11796 光纤解调器
以太网光纤收发器 元器件百科 以太网光纤收发器基本特点1.提供超低延时的数据传输。2.对网络协议完全透明。3.采用专用ASIC芯片实现数据线速转发。可编程ASIC将多项功能集中到一个芯片上,具有设计简单、可靠性高、电源消耗少等优点,能使设备得到更高的性能和更低的成本。4.机架型设备可提供热拔插功能,便于维护和无间断升级。5.可网管设备能提供网络诊断、升级、状态报告、异常情况报告及控制等功能,能提供完整的操作日志和报警日志。6. 芯城品牌采购网 2025-10-29 5702 以太网光纤收发器
光纤法兰适配器 元器件百科 光纤法兰适配器简介光纤通信经过几十年的发展,这些连接器已经在全世界得到普及使用。连接器的插芯材质有陶瓷,金属,塑料等,每种连接器有不同颜色的外框与尾套供选择。通过固化研磨等工艺,光纤连接器被用来与各种类型的光缆制作成各种类型的跳线或尾纤,被广泛运用到通信机房、光纤到户、局域网络、光纤传感器、光纤通信系统、光纤连接传输设备、国防战备等。适用于有线电视网、电信网、计算机光纤网络及光测试设备。光纤法兰适 芯城品牌采购网 2025-10-29 8599 光纤法兰适配器
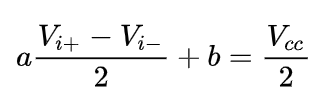
单电源供电 元器件百科 单电源供电简介双电源是由一个正电源和一个相等的负电源组成,一般是正负15伏,正负12伏,正负5伏,输入和输出电压都是参考地给出的,一般教课书中的涉及到的运放都采用的是这种双电源的供电方法,但是在一些实际生产设计中没有或者只能采用单电源的供电的方法时,就有必要采取相应的解决方法。单电源供电时,正电源接Vcc,电源地接公共地,并需要将正电压Vcc的一半电压Vcc/2作为虚地接到运放的同相输入端,一般也 芯城品牌采购网 2025-10-29 6436 电源
低压电源 元器件百科 低压电源简介高低压电源有两种划分方式,一种是根据人的安全与否,即36v以下是低电压,36v以上是高电压;而更常用的一种划分方式是1kv(交流)以下的电压称为低电压,1kv以上的电压称为高电压。许多集成电路(如微处理器、数字信号处理器、动态随机存取存储器和静态随机存取存储器)在直流电源电压下工作。因此,在典型的计算机系统中,首先通过交流-直流变换器将应用系统的交流电压转变成直流电压。一旦得到一个直流 芯城品牌采购网 2025-10-29 6092 低压电源
双电源供电 元器件百科 双电源供电特点双电源供电和双回路供电,人们一般都认为是一码事,互相混淆。但是事实上是有一些区别的。一用一备如果指的是馈电线路,就不能称之为双电源供电了。双电源比双回路可靠,但对建筑单体来说,两者看起来好象没有什么区别,很多情况下都是两路进线。双电源有一种情况是这样的:两路进线接自不同的区域变电站;而对应,双回路有一种情况是这样的:两路进线接自同一区域变电站的不同母线。所以,“双回路”中的这个回路指 芯城品牌采购网 2025-10-29 5247 电源
以太网电源 元器件百科 以太网电源特点以太网电源中的电源装置简称为PD,它具有以下特点:――能提供PD检测与分类信号;――能提供到DC/DC电源变换器的软启动接口;――具有过电流保护、过电压保护、过热保护等功能。以太网电源必要性1.节省成本PoE无需进行独立的数据和电源基建安装,故可节省时间和金钱.2.简易性电源与以太网基建完全整合,因此在不方便提供电源的地方供电时变得更简易.3.可靠性随着加入中央UPS一起使用,其可靠 芯城品牌采购网 2025-10-29 10115 以太网电源
单晶硅片 元器件百科 单晶硅片简介单晶硅是一种比较活泼的非金属元素,是晶体材料的重要组成部分,处于新材料发展的前沿。其主要用途是用作半导体材料和利用太阳能光伏发电、供热等。由于太阳能具有清洁、环保、方便等诸多优势,近三十年来,太阳能利用技术在研究开发、商业化生产、市场开拓方面都获得了长足发展,成为世界快速、稳定发展的新兴产业之一。单晶硅可以用于二极管级、整流器件级、电路级以及太阳能电池级单晶产品的生产和深加工制造,其后 芯城品牌采购网 2025-10-29 12956 单晶硅片
单极直流接触器 元器件百科 单极直流接触器参数1、环境温度:-25~+40℃,24h平均值不超过+35℃;2、相对湿度:+25℃达90%;3、固定处的振动频率:1~50Hz(频率1~10Hz;振幅25/f;频率10~50Hz;振幅250/f2);4、冲击加速度:30m/s2;;5、安装方向:任意;6、安装方式:螺钉安装;7、适用工作制:不间断工作制(DC-1)单极直流接触器特点1、本产品设计结构紧凑、坚固;体积小、重量轻;2 芯城品牌采购网 2025-10-29 10208 单极直流接触器
单相电子式电能表 元器件百科 单相电子式电能表特点1、采用先进的专用集成电路和SMT、热风回流焊、波峰焊工艺设计、制造,质量可靠。2、宽电压范围设计,从154V~264V均能正常工作,同时418V时电表不损坏,提高了电表对工作环境的适应性。3、全密封防尘、防水设计,表壳材料具有优良的阻燃和抗腐蚀、抗老化性能。单相电子式电能表功能基本功能1、性能优于gb/t17215—2002《1级和2级静止式交流有功电能表》,通信规约符合dl 芯城品牌采购网 2025-10-29 7903 单相电子式电能表
单相交流电动机 元器件百科 单相交流电动机旋转原理有外力时单相交流电动机只有一个绕组,转子是鼠笼式的。当单相正弦电流通过定子绕组时,电动机就会产生一个交变磁场,这个磁场的强弱和方向随时间作正弦规律变化,但在空间方位上是固定的,所以又称这个磁场是交变脉动磁场。这个交变脉动磁场可分解为两个以相同转速、旋转方向互为相反的旋转磁场,当转子静止时,这两个旋转磁场在转子中产生两个大小相等、方向相反的转矩,使得合成转矩为零,所以电动机无法 芯城品牌采购网 2025-10-29 11291 单相交流电动机
交换式电源供应器 元器件百科 交换式电源供应器电路介绍(a)EMI滤波器:S.P.S.中内建的电源滤波器,来滤除S.P.S.所产生的EMI干扰。(b)浪涌电流抑制:在S.P.S.启动瞬间会产生一大的浪涌电流,浪涌电流过大,易损坏S.P.S.且易对配电系统造成不良影响,故在S.P.S.中均有浪涌电流抑制电路。(c)输入整流:用来将输入的交流电源转换为直流电源。(d)转换器:将直流电源切换成高频讯号经高频变压器作升/降电压。(e) 芯城品牌采购网 2025-10-29 8449 电源供应器
一次电源 元器件百科 一次电源简介一次电源是指将电网市电变换成标称值为48V的直流电。传统采用可控硅相控整流技术,比起历史上曾经采用的汞弧整流器经过电阻网络来得到不同大小的直流电压来说,是一次革命。缺点是比起用电的通信主机来说,体积庞大、笨重,热损耗较大,输出纹波大,无功功率较大,对电网污染明显。新型的通信用一次电源,就是高频开关整流电源,是将市电直接整流,然后经过高频开关功率变换,得到高频交流电,再经过整流滤波而得到 芯城品牌采购网 2025-10-29 4411 电源
三相电源 元器件百科 三相电源特点中国民用供电使用三相电作为楼层或小区进线,多用星形接法,其相电压为220V,而线电压为380V(近似值),需要中性线,一般也都有地线,即为三相五线制。而进户线为单相线,即三相中的一相,对地或对中性线电压均为220V。一些大功率空调等家用电器也使用三相四线制接法,此时进户线必须是三相线。工业用电多使用6kV以上高压三相电进入厂区,经总降压变电所、总配电所或车间变电所变压成为较低电压后以三 芯城品牌采购网 2025-10-29 13375 三相电源
不间断电源 元器件百科 不间断电源简介不间断电源(UPS)是将蓄电池(多为铅酸免维护蓄电池)与主机相连接,通过主机逆变器等模块电路将直流电转换成市电的系统设备。它主要用于给单台计算机、计算机网络系统或其他电力电子设备如电磁阀、压力变送器等提供稳定、不间断的电力供应。不间断电源广泛应用于:矿山、航天、工业、通讯、国防、医院、计算机业务终端、网络服务器、网络设备、数据存储设备、应急照明系统、铁路、航运、交通、电厂、变电站、核 芯城品牌采购网 2025-10-29 5302 电源
光伏系统 元器件百科 光伏系统组成光伏系统是由太阳能电池方阵,蓄电池组,充放电控制器,逆变器等设备组成。其各部分设备的作用是:(1)太阳能电池方阵:在有光照情况下,电池吸收光能,电池两端出现异号电荷的积累,即产生"光生电压",这就是"光生伏打效应"。在光生伏打效应的作用下,太阳能电池的两端产生电动势,将光能转换成电能,是能量转换的器件。太阳能电池一般为硅电池,分为单晶硅太阳能电池,多晶硅太阳能电池和非晶硅太阳能电池三种 芯城品牌采购网 2025-10-29 13681 光伏
光调制器 元器件百科 光调制器作用在整体光通信的光发射、传输、接收过程中,光调制器被用于控制光的强度,因此其作用是非常重要的。以下是光调制器的作用:1.光调制器将电发射机射出的电信号转化成光信号,解决了输出信号的幅度和频率都随调制电流的变化而改变的问题;2.光调制器抑制了“啁啾”特性。光调制器分类一般光纤通讯系统中的外调制器包括四类:①声光(AO)调制器;②磁光调制器,即Farady调制器;③电光(EO)调制器④电吸收 芯城品牌采购网 2025-10-29 8714 光调制器
绝缘电阻检测仪 元器件百科 绝缘电阻检测仪技术参数1.输出电压:500V、1000V、2500V、5000V2.绝缘电阻:200GΩ3.精度:5%4.高压短路电流:3mA5.绝缘性能:电路与外壳间电压为1000VDC时,最大2000M绝缘电阻检测仪产品特性1、仪表的绝缘测试对于5400在500V最高可测20GΩ,在1000V最高可测40GΩ,在2500V最高可测100GΩ;对于5500型在2500V最高可测100GΩ,在50 芯城品牌采购网 2025-10-29 12824 绝缘电阻检测仪
三极管等效电阻 元器件百科 三极管等效电阻简介所谓三极管等效电阻,是指三极管在电路中起作用时,输入、输出端在电路中相当于多少欧姆电阻,换句话说,就是用一个阻值相同的电阻可以替代三极管的电阻特性。 芯城品牌采购网 2025-10-29 13328 三极管电阻
双向触发二极管 元器件百科 双向触发二极管检测方法(1)将万用表拨于R×1k(或R×10档),因为DIAC的V(BO)值都20V以上,所以测量正、反向电阻值均为无穷大。(2)按图4接好电路。由兆欧表提供击穿电压,并用直流电压表测量DIAC的正向转折电压V(BO)。然后调换DIAC的电极,测出反向转折电压V(BR)。最后检查转折电压的对称性。实例之一:选择ZC25-3型兆欧表,将500型万用表拨至50VDC档。被测触发二极管为 芯城品牌采购网 2025-10-29 8858 双向二极管
光分插复用器 元器件百科 光分插复用器分类1、阵列波导光栅型光分插复用器2、采用声光可调谐滤波器的光分插复用器3、光纤光栅型光分插复用器4、波导-光栅型光分插复用器光分插复用器结构特点光分插复用器由一输入/输出部,一下载部及一上传部组成一三端口器件。输入/输出部包括一双光纤插针,一与其相对应的第一耦合透镜和一滤光片,其中双光纤插针内的两根光纤分别作为光信号的输入端与输出端。下载部和上传部各包括一耦合透镜和一单光纤插针,安装 芯城品牌采购网 2025-10-29 9888 光分复用器
双层线路板 元器件百科 双层线路板简介双层线路板,是指双面有铜,而且有金属化孔的,也就是说双面有铜,而且孔里面也有铜,对于线路板双面来说,孔里有铜特别重要,因为最早,最困难的就是孔里有铜(如何在无铜的孔壁上有铜),这个是区分双面,单面的最重要的依据.但是假双面板,只是两面有铜,但是孔里面确没有铜,所以称孔内无铜,但是双面有铜的线路板,叫假双面板,看上去是双面板,实际和双面是有区别的。双层线路板这种电路板的两面都有布线,不 芯城品牌采购网 2025-10-29 11635 双层线路板
免维护蓄电池 元器件百科 免维护蓄电池定义密封免维护蓄电池采用九十年代最新设计的全密封结构及现代化生产工艺。使其具有高性能、长寿命、无污染、免维护、安全可靠的卓越性能。免维护蓄电池分类常用的蓄电池主要分为四类,分别为普通蓄电池、干荷蓄电池、湿荷蓄电池和免维护蓄电池四种。普通蓄电池普通蓄电池的极板是由铅和铅的氧化物构成,电解液是硫酸的水溶液。它的主要优点是电压稳定、价格便宜;缺点是比能低(即每公斤蓄电池存储的电能)、使用寿命 芯城品牌采购网 2025-10-29 11834 蓄电池
BNC视频接头 元器件百科 BNC视频接头产品介绍型号为XLT-UTP-602防水型双绞线传输器是一款不需要额外供电的传输设备,内部使用线圈为三组绕线高密度磁芯并压塑密封,使得传输效果更稳定,传输距离更远,杜绝潮湿引起的设备损坏等现象。它采用1对双绞线电缆来传输单路基带视频信号的传输设备,该设备兼容PAL、NTSC、SECAM基带视频符合信号。主要应用在安防、教学等领域的高清晰AV信号无源双绞线视频传输设备.在实际应用中,我 芯城品牌采购网 2025-10-29 11118 BNC视频接头
CMOS-IC 元器件百科 CMOS-IC相关标准及规则JEDEC最低工业标准JEDEC最低标准是电子工业协会(EIA)联合电子器件工程委员会(JEDEC)主持下制定的CMOS集成电路的最大额定范围和静态参数的最低工业标准。下表即为JEDEC制定的CMOS集成电路的最大额定范围:电源电压:VDD~VSS18~-0.5V(DC)直流输入电流:IIN士10mA(DC)输入电压:VIVSS≤VI≤VDD+0.5V(DC)器件功耗: 芯城品牌采购网 2025-10-29 6901 CMOS
COD快速测定仪 元器件百科 COD快速测定仪简介COD快速测定仪主要有COD主机和消解仪两部分组成,具有自动控温、计时、调零、线性回归、曲线储存和数据打印等功能。该仪器可广泛用于地表水、地下水、工业废水和生活污水等不同水体中多种检测参数的快速测定,是实验室水质检测、监测必备的专用型分析仪器,适用于环境监测、污水排放监控、生产监测、医疗卫生、临床检验、石油化工、冶金和电力等领域,是环境监测与控制的理想仪器。COD快速测定仪特点 芯城品牌采购网 2025-10-29 6855 COD测定仪
igbt中频电源 元器件百科 igbt中频电源基本信息IGBT中频电源是一种采用串联谐振式的中频感应熔炼炉电源,它的逆变器件为一种新型IGBT模块(绝缘栅双极性晶体管,德国西门子生产),它主要用于熔炼普通碳素钢、合金钢、铸钢、有色金属。具有熔化速度快、节能、高次谐波污染低等优点。IGBT中频电源为一种恒功率输出电源,逆变频率时刻跟踪负载变化,达到完全谐振,加少量料即可达到满功率输出,并且始终保持不变,所以熔化速度快;因逆变部分 芯城品牌采购网 2025-10-29 9194 电源
AT电源 元器件百科 AT电源简介AT与ATX共有四路输出(+5V、-5V、+12V、-12V),另向主板提供一个P.G.信号。AT电源供应器的体积是150mm×140mm×86mm。对于电脑启动与关机,如果使用AT电源,关闭电脑电源开关后,也就真正关闭了电源。AT电源应用ATX电源广泛应用于电脑中,与AT电源相比,它更符合"绿色电脑"的节能标准,它对应的主板是ATX主板。AT电源与ATX的区别1.ATX电源的特点与A 芯城品牌采购网 2025-10-29 7055 AT电源
AC-DC模块电源 元器件百科 AC-DC模块电源概述AC-DC模块电源:昂鼎的交流转直流模块电源,可以取代传统变压器、适配器,是一种小型化的开关电源,可以免除因为使用外挂电源适配器,配件又多又烦的困绕。AC-DC模块电源产品特色1.体积小、重量轻:昂鼎的交流转直流模块电源体积为市售产品的一半左右,可以让使用者产品轻薄短小。2.认证齐全:昂鼎的交流转直流模块电源UL、CE认证齐全,产品品质符合国际标准,是高阶产品选用的最好解决方 芯城品牌采购网 2025-10-29 12409 AC-DC电源
atx电源 元器件百科 atx电源特点ATX电源的特点:与AT电源相比,ATX电源增加了“+3.3V、+5VSB、PS-ONATX电源”三个输出。其中“+3.3V”输出主要是供内存用,而“+5VSB”、“PS-ON”输出则体现了ATX电源的特点。ATX电源最主要的特点就是,它不采用传统的市电开关来控制电源是否工作,而是采用“+5VSB、PS-ON”的组合来实现电源的开启和关闭,只要控制“PS-ON”信号电平的变化,就能控 芯城品牌采购网 2025-10-29 11653 atx电源